PRECISION MAMMOGRAPHY
WITH IMAGELOGIX AI

Transforming Mammography with AI Precision
Transforming Mammography with AI Precision
Elevate Detection, Reduce Costs, and Expand Reach
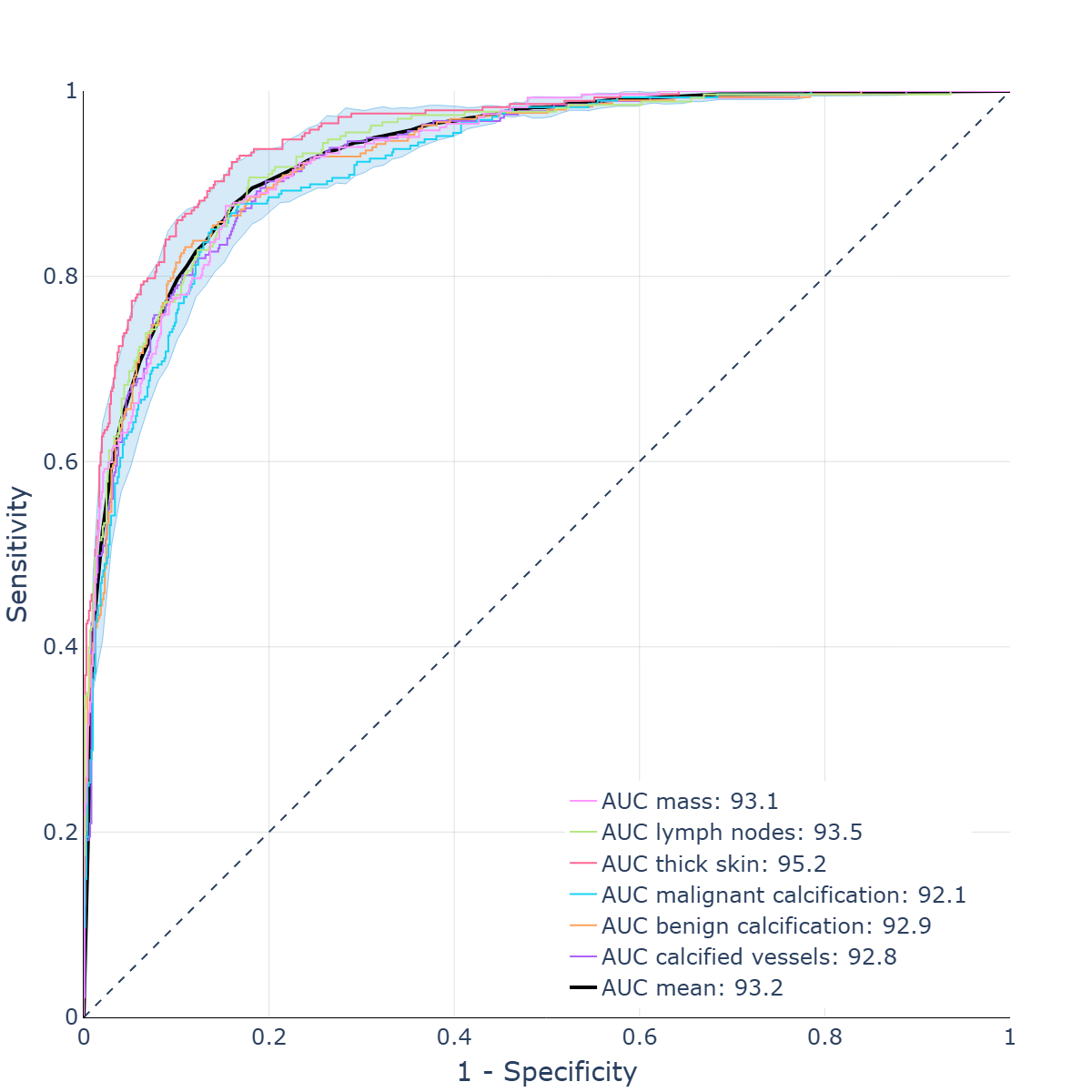
The IMAGELOGIX Clinical Decision Support System (CDSS) uses advanced AI to detect breast cancer with 90%+ sensitivity, trained on 7,000+ studies by expert radiologists

It delivers reliable results in under 60 seconds, empowering clinics worldwide, including underserved regions

IMAGELOGIX Case Study

BUSINESS BENEFITS
Efficiency + Accuracy
  • Expands mammography screening programs to underserved regions, improving access to early detection
  • Optimizes workflows with automated BI-RADS reports, reducing costs and improving efficiency
  • Reduces radiologist workload by automating mammogram analysis in under 60 seconds
  • Minimizes diagnostic errors caused by fatigue or subjective interpretation
  • Seamlessly integrates with DICOM v3.0 and PACS/RIS systems for effortless adoption into existing infrastructures
  • Detects breast cancer with high sensitivity, enabling timely intervention and saving lives
Business Benefits
Technical Edge
TECHNICAL EDGE
Patient-Centric Tech
  • Achieves 90%+ accuracy in detecting and classifying malignant tumors, fibroadenomas, cysts, and calcifications
  • Localizes pathologies with precise visual annotations on native mammogram images
  • Assesses breast density using ACR categories (A/B/C/D) to enable personalized screening strategies
  • Generates BI-RADS scores automatically for both left and right breasts
  • Performs quantitative analysis of detected elements, including their number and area
  • Produces comprehensive study reports with clinically relevant insights, ready for integration into HIS/RIS systems
HOW IT WORKS
Helping Data-Driven Decisions
IMAGELOGIX processes mammogram images in three seamless stages:
  • preprocessing
  • analysis, and
  • post-processing

It uses a 150-layer deep neural network, trained on over 7,000 diverse studies by expert radiologists.


It automatically detects, classifies, and localizes breast pathologies with 90%+ accuracy in under 60 seconds


By combining classification and segmentation neural networks, IMAGELOGIX delivers precise results with adjustable sensitivity and specificity, enabling tailored screening and supporting data-driven clinical decisions with GPU-accelerated efficiency

How It Works
Flexible Usage Scenarios
FLEXIBLE USAGE SCENARIOS
Tailored for Your Workflow
  • Acts as a first-opinion assistant for triage in screening processes
  • Provides second / third opinions with discrepancy notifications
  • Enhances diagnostic reading with pre-marked pathology regions
  • Supports rural clinics with automated report generation [see sample]
Elevate Your Mammography Practice

Experience the power of IMAGELOGIX — request a demo to see how it boosts accuracy and efficiency

Request Demo